호주정보

돌아가기

자유수다

2025–26 직업별 비자

작성자: 쿼카

2026. 3. 25. AM 5:55:41

조회수: 86

좋아요: 3

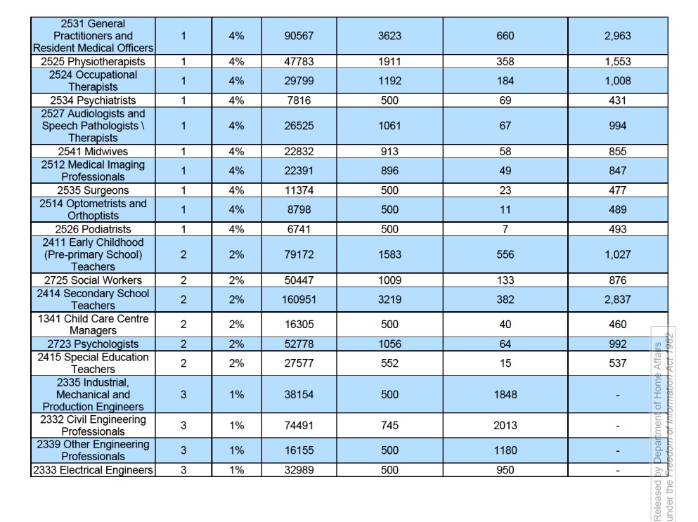
189 및 491 FS 비자를 위한 새로운 4단계(Tier) 시스템

📍 주요 규칙

  • 대상 비자: 이 상한선은 Subclass 189Subclass 491 (Family Sponsored) 비자에만 적용됩니다.

  • 예외: State Nominated (190) 비자나 Employer-Sponsored 비자에는 영향을 주지 않습니다.

  • 면책사항: 직업별 상한선은 운영 필요사항, 장관 지침(Ministerial Directions), 그리고 정부 정책 변화에 따라 변경될 수 있습니다.

계산 과정

1. 인력 분석 (Workforce Analysis)
정부는 호주 통계청(ABS) 데이터를 사용하여 각 직업에 현재 종사하고 있는 전체 인원 수를 평가합니다.

2. Tier 배수 적용 (Tier Multiplier)
해당 직업이 속한 "Tier"에 지정된 비율을 전체 종사자 수에 곱합니다.

3. 최소 기준 적용 (Minimum Floor)
계산 결과가 너무 적게 나오면 정부는 직업당 최소 500명의 상한선을 설정합니다.

4. 최종 차감 (The Final Deduction)
이미 다른 경로(예: 190 또는 186 비자)를 통해 해당 직업으로 발급된 비자 수를 전체에서 차감합니다.

5. 최종 결과 (The Result)
남은 숫자가 2025–26 프로그램 연도의 Subclass 189 비자 최종 직업별 상한선이 됩니다.

visa_1.jpgvisa_2.jpgvisa_3.jpgvisa_4.jpgvisa_5.jpgvisa_6.jpg

출처: FOI Disclosure log 2026

댓글 (1)

댓글 입력

순수한상어5137

추천

신고

2026. 3. 25. AM 9:45:52

RN은 항상 탑이네요

자유수다 관련 게시글

자유수다

미용 호주 유학 및 이민

건강한쿠카부라4561

2026. 4. 8.

56

1

자유수다

시드니 냉면 맛집 추천좀요~

활발한악어1726

2026. 4. 7.

68

1

자유수다

호주 이민성(Immiaccount) 로그인

쿼카

2026. 4. 6.

83

0

자유수다

호주 운전면허 전환

쿼카

2026. 4. 6.

87

0

자유수다

호주 유심 구매

건강한쿠카부라4561

2026. 4. 5.

63

1

COPYRIGHT © 2025. HOJU INFO, ALL RIGHT RESERVED